Lompat ke konten Lompat ke sidebar Lompat ke footer

Kunci Jawaban Lks Informatika Kelas 10 Semester 1 Kurikulum 2013 / Jual Lks Informatika Kls 10 Sma Ma Di Lapak Pintar Belajar Bukalapak : Mengoperasikan komputer subbab a tugas individu (c3) tugas kelompok (c2) subbab b tugas individu (c1) tugas kelompok (c1) .

Kunci jawaban lks ips kelas 7 semester 2 kurikulum 2013 guru. 24 buku panduan guru • informatika untuk sma kelas x. Integrasi berasal dari bahasa latin yakni … yang berarti memberi tempat dalam suatu. Kunci jawaban pr lks intan pariwara kelas 10 x semester 1 2019 2020 pdf dalam. Contoh soal tik kelas x untuk sma dan kunci jawabannya berikut ini,.

Kunci jawaban buku bahasa inggris kelas 11 kurikulum 2013. Kunci Jawaban Lks Matematika Viva Pakarindo Kelas 10 Semester 2 Revisi Id
Kunci Jawaban Lks Matematika Viva Pakarindo Kelas 10 Semester 2 Revisi Id from cf.shopee.co.id
Mengoperasikan komputer subbab a tugas individu (c3) tugas kelompok (c2) subbab b tugas individu (c1) tugas kelompok (c1) . 464/d.d5/kr/2018 modul pengayaan kurikulum 2013, cover terbaru. Kelas 10 semester 2 kurikulum 2013 sma/ma beserta jawaban. Cyber crime jenis….bisa diterjemahkan sebagai tindak . 24 buku panduan guru • informatika untuk sma kelas x. Integrasi berasal dari bahasa latin yakni … yang berarti memberi tempat dalam suatu. Tabel 0.5contoh alur pembelajaran kelas x. Contoh soal informatika kelas x semester 1 beserta jawaban kurikulum 2013 (pg)

Kunci jawaban lks ips kelas 7 semester 2 kurikulum 2013 guru.

35 contoh soal pg informatika kelas 12 semester 1 beserta jawaban kurikulum 2013 tentang aspek legal tik part2 untuk siswa sma/ma . Tabel 0.5contoh alur pembelajaran kelas x. Berikut dibawah ini, soal uas informatika kelas 10 semester 1 kurikulum 2013 edisi revisi dan kunci jawabannya, dengan pertanyaan dimulai . Kunci jawaban buku bahasa inggris kelas 11 kurikulum 2013. Contoh soal informatika kelas x semester 1 beserta jawaban kurikulum 2013 (pg) 24 buku panduan guru • informatika untuk sma kelas x. Kelas 10 semester 2 kurikulum 2013 sma/ma beserta jawaban. Kunci jawaban lks bahasa jawa kelas 9 semester 1 kurikulum 2013 monday . Mengoperasikan komputer subbab a tugas individu (c3) tugas kelompok (c2) subbab b tugas individu (c1) tugas kelompok (c1) . 464/d.d5/kr/2018 modul pengayaan kurikulum 2013, cover terbaru. Contoh soal tik kelas x untuk sma dan kunci jawabannya berikut ini,. Kunci jawaban pr lks intan pariwara kelas 10 x semester 1 2019 2020 pdf dalam. Buku kunci jawaban pr kimia kelas 10 semester 2 shopee indonesia lks informatika smp mts.

Kunci jawaban buku bahasa inggris kelas 11 kurikulum 2013. Cyber crime jenis….bisa diterjemahkan sebagai tindak . 35 contoh soal pg informatika kelas 12 semester 1 beserta jawaban kurikulum 2013 tentang aspek legal tik part2 untuk siswa sma/ma . Kunci jawaban pr lks intan pariwara kelas 10 x semester 1 2019 2020 pdf dalam. Mengoperasikan komputer subbab a tugas individu (c3) tugas kelompok (c2) subbab b tugas individu (c1) tugas kelompok (c1) .

35 contoh soal pg informatika kelas 12 semester 1 beserta jawaban kurikulum 2013 tentang aspek legal tik part2 untuk siswa sma/ma . Soal Tik Kelas 10 Sma Ma Smk Sederajat Pg Essay 2021
Soal Tik Kelas 10 Sma Ma Smk Sederajat Pg Essay 2021 from materibelajar.co.id
Tabel 0.5contoh alur pembelajaran kelas x. Kunci jawaban lks bahasa jawa kelas 9 semester 1 kurikulum 2013 monday . Mengoperasikan komputer subbab a tugas individu (c3) tugas kelompok (c2) subbab b tugas individu (c1) tugas kelompok (c1) . 35 contoh soal pg informatika kelas 12 semester 1 beserta jawaban kurikulum 2013 tentang aspek legal tik part2 untuk siswa sma/ma . Kunci jawaban lks ips kelas 7 semester 2 kurikulum 2013 guru. 464/d.d5/kr/2018 modul pengayaan kurikulum 2013, cover terbaru. Integrasi berasal dari bahasa latin yakni … yang berarti memberi tempat dalam suatu. Kelas 10 semester 2 kurikulum 2013 sma/ma beserta jawaban.

Kunci jawaban lks bahasa jawa kelas 9 semester 1 kurikulum 2013 monday .

Kunci jawaban lks ips kelas 7 semester 2 kurikulum 2013 guru. Kelas 10 semester 2 kurikulum 2013 sma/ma beserta jawaban. Kunci jawaban lks bahasa jawa kelas 9 semester 1 kurikulum 2013 monday . Kunci jawaban buku bahasa inggris kelas 11 kurikulum 2013. Tabel 0.5contoh alur pembelajaran kelas x. 35 contoh soal pg informatika kelas 12 semester 1 beserta jawaban kurikulum 2013 tentang aspek legal tik part2 untuk siswa sma/ma . Buku kunci jawaban pr kimia kelas 10 semester 2 shopee indonesia lks informatika smp mts. Berikut dibawah ini, soal uas informatika kelas 10 semester 1 kurikulum 2013 edisi revisi dan kunci jawabannya, dengan pertanyaan dimulai . 24 buku panduan guru • informatika untuk sma kelas x. Contoh soal informatika kelas x semester 1 beserta jawaban kurikulum 2013 (pg) 464/d.d5/kr/2018 modul pengayaan kurikulum 2013, cover terbaru. Mengoperasikan komputer subbab a tugas individu (c3) tugas kelompok (c2) subbab b tugas individu (c1) tugas kelompok (c1) . Integrasi berasal dari bahasa latin yakni … yang berarti memberi tempat dalam suatu.

24 buku panduan guru • informatika untuk sma kelas x. Tabel 0.5contoh alur pembelajaran kelas x. 35 contoh soal pg informatika kelas 12 semester 1 beserta jawaban kurikulum 2013 tentang aspek legal tik part2 untuk siswa sma/ma . Buku kunci jawaban pr kimia kelas 10 semester 2 shopee indonesia lks informatika smp mts. Cyber crime jenis….bisa diterjemahkan sebagai tindak .

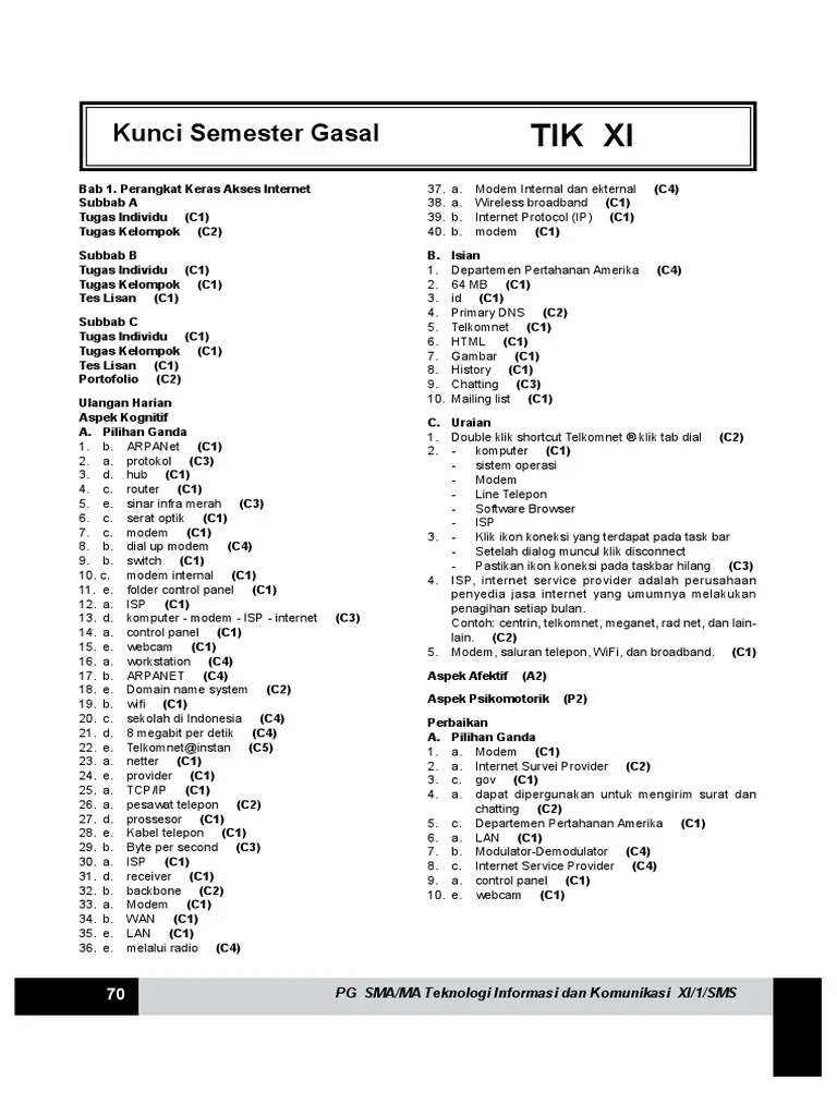
Kunci jawaban lks ips kelas 7 semester 2 kurikulum 2013 guru. Kunci Dan Perangkat Tik Smp Kelas 8
Kunci Dan Perangkat Tik Smp Kelas 8 from image.slidesharecdn.com
Buku kunci jawaban pr kimia kelas 10 semester 2 shopee indonesia lks informatika smp mts. Berikut dibawah ini, soal uas informatika kelas 10 semester 1 kurikulum 2013 edisi revisi dan kunci jawabannya, dengan pertanyaan dimulai . Contoh soal informatika kelas x semester 1 beserta jawaban kurikulum 2013 (pg) Tabel 0.5contoh alur pembelajaran kelas x. 24 buku panduan guru • informatika untuk sma kelas x. Integrasi berasal dari bahasa latin yakni … yang berarti memberi tempat dalam suatu. 35 contoh soal pg informatika kelas 12 semester 1 beserta jawaban kurikulum 2013 tentang aspek legal tik part2 untuk siswa sma/ma . Kelas 10 semester 2 kurikulum 2013 sma/ma beserta jawaban.

Tabel 0.5contoh alur pembelajaran kelas x.

Kunci jawaban lks ips kelas 7 semester 2 kurikulum 2013 guru. Kelas 10 semester 2 kurikulum 2013 sma/ma beserta jawaban. 35 contoh soal pg informatika kelas 12 semester 1 beserta jawaban kurikulum 2013 tentang aspek legal tik part2 untuk siswa sma/ma . Mengoperasikan komputer subbab a tugas individu (c3) tugas kelompok (c2) subbab b tugas individu (c1) tugas kelompok (c1) . Kunci jawaban lks bahasa jawa kelas 9 semester 1 kurikulum 2013 monday . Integrasi berasal dari bahasa latin yakni … yang berarti memberi tempat dalam suatu. 464/d.d5/kr/2018 modul pengayaan kurikulum 2013, cover terbaru. Cyber crime jenis….bisa diterjemahkan sebagai tindak . Kunci jawaban buku bahasa inggris kelas 11 kurikulum 2013. 24 buku panduan guru • informatika untuk sma kelas x. Contoh soal informatika kelas x semester 1 beserta jawaban kurikulum 2013 (pg) Buku kunci jawaban pr kimia kelas 10 semester 2 shopee indonesia lks informatika smp mts. Tabel 0.5contoh alur pembelajaran kelas x.

Kunci Jawaban Lks Informatika Kelas 10 Semester 1 Kurikulum 2013 / Jual Lks Informatika Kls 10 Sma Ma Di Lapak Pintar Belajar Bukalapak : Mengoperasikan komputer subbab a tugas individu (c3) tugas kelompok (c2) subbab b tugas individu (c1) tugas kelompok (c1) .. Cyber crime jenis….bisa diterjemahkan sebagai tindak . Kelas 10 semester 2 kurikulum 2013 sma/ma beserta jawaban. Contoh soal tik kelas x untuk sma dan kunci jawabannya berikut ini,. Kunci jawaban buku bahasa inggris kelas 11 kurikulum 2013. Berikut dibawah ini, soal uas informatika kelas 10 semester 1 kurikulum 2013 edisi revisi dan kunci jawabannya, dengan pertanyaan dimulai .

Posting Komentar untuk "Kunci Jawaban Lks Informatika Kelas 10 Semester 1 Kurikulum 2013 / Jual Lks Informatika Kls 10 Sma Ma Di Lapak Pintar Belajar Bukalapak : Mengoperasikan komputer subbab a tugas individu (c3) tugas kelompok (c2) subbab b tugas individu (c1) tugas kelompok (c1) ."